When you take the SAT, you’ll have access to SAT Math formulas within the Bluebook software. Don’t get too excited: these formulas only cover some high-school geometry topics. While it’s certainly useful to have those formulas during the exam (especially if it’s been a few years since you’ve taken geometry), there are many other formulas that can be helpful for achieving your goal SAT Math score. These formulas, along with the ones you will be given, are covered in this article.

Here are two ways to think about how urgent it is to learn a formula. Each formula covered in this article has been sorted into one of these two groups:
To memorize SAT Math formulas, first evaluate how well you know each one.
The formulas you know are done—don’t spend any time memorizing or working on something you’ve already mastered!
Next, start learning the Sorta Know and Don’t Know formulas included in the Must Understand category. Use flashcards (real or digital), write down the formulas, or practice with whatever memorization technique works best for you.
Once you’ve mastered the formulas in the Must Understand category, move on to the Nice to Understand formulas.
“Algebra” is the College Board’s term for algebra without exponents or radicals—in other words, algebra with lines. Many questions can be solved by plugging in numbers or graphing with the built-in calculator.
However, not every algebra concept can be addressed with these strategies. Here are two equations that are required to answer certain questions on the SAT:
“Advanced Math” is the College Board’s term for algebra with exponents. The class in school that covers these topics is often called Algebra II.
As with Algebra, many of these questions can be solved with strategies or tools, but listed below are the formulas worth memorizing.
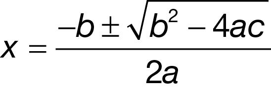
Equations with an exponent of 2 on the variable (often x). This topic is heavily tested on the SAT, so you want to be confident with these formulas.
Many growth and decay questions can be answered using the graphing calculator (often along with strategies such as Plugging In), but these questions are typically far more efficient to solve with formulas.


Most of the formulas you need for these questions will be provided, so you don’t need to memorize these formulas, but you do need to know how to use them.





is the slope.
is the y-intercept.“Advanced Math” is the College Board’s term for algebra with exponents. The class in school that covers these topics is often called Algebra II.
As with Algebra, many of these questions can be solved with strategies or tools, but listed below are the formulas worth memorizing.






Remember: the test-makers do not care how you solve a question so long as you come up with the correct response. Because you have a limited amount of time on the test, choose the fastest, most accurate methods at your disposal. Knowing when to use the SAT Math formulas provided or which you’ve memorized will go a long way in improving your score!
Connect with our featured colleges to find schools that both match your interests and are looking for students like you.
Join athletes who were discovered, recruited & often received scholarships after connecting with NCSA's 42,000 strong network of coaches.
168,000 students rate everything from their professors to their campus social scene.